ਹਵਾ ਸਰੋਤ ਯੰਤਰ ਅਤੇ ਵਾਯੂਮੈਟਿਕ ਸਹਾਇਕ ਭਾਗ ਇਸ ਦੇ ਦੋ ਲਾਜ਼ਮੀ ਅਤੇ ਮਹੱਤਵਪੂਰਨ ਅੰਗ ਹਨ।ਨਿਊਮੈਟਿਕ ਸਿਸਟਮ. ਹਵਾ ਸਰੋਤ ਯੰਤਰ ਸਿਸਟਮ ਨੂੰ ਇੱਕ ਖਾਸ ਦਬਾਅ ਅਤੇ ਵਹਾਅ ਦੀ ਦਰ ਦੇ ਨਾਲ ਕਾਫ਼ੀ ਸਾਫ਼, ਸੁੱਕੀ ਕੰਪਰੈੱਸਡ ਹਵਾ ਪ੍ਰਦਾਨ ਕਰਦਾ ਹੈ। ਕੰਪੋਨੈਂਟ ਕੁਨੈਕਸ਼ਨ, ਸਿਸਟਮ ਦੀ ਭਰੋਸੇਯੋਗਤਾ ਵਧਾਉਣ, ਸੇਵਾ ਜੀਵਨ ਅਤੇ ਕੰਮ ਕਰਨ ਵਾਲੇ ਵਾਤਾਵਰਣ ਨੂੰ ਬਿਹਤਰ ਬਣਾਉਣ ਆਦਿ ਲਈ ਨਿਊਮੈਟਿਕ ਸਹਾਇਕ ਭਾਗ ਜ਼ਰੂਰੀ ਹਨ।
1. ਗੈਸ ਸਰੋਤ ਯੰਤਰ
ਹਵਾ ਸਰੋਤ ਯੰਤਰ ਉਹ ਹਿੱਸਾ ਹੈ ਜੋ ਪ੍ਰਾਈਮ ਮੂਵਰ ਦੁਆਰਾ ਮਕੈਨੀਕਲ ਊਰਜਾ ਆਉਟਪੁੱਟ ਨੂੰ ਹਵਾ ਦੇ ਦਬਾਅ ਊਰਜਾ ਵਿੱਚ ਬਦਲਦਾ ਹੈ ਤਾਂ ਜੋ ਨਿਊਮੈਟਿਕ ਟ੍ਰਾਂਸਮਿਸ਼ਨ ਸਿਸਟਮ ਲਈ ਸ਼ਕਤੀ ਪ੍ਰਦਾਨ ਕੀਤੀ ਜਾ ਸਕੇ। ਇਸ ਹਿੱਸੇ ਦੀ ਕਾਰਗੁਜ਼ਾਰੀ ਸਿੱਧੇ ਤੌਰ 'ਤੇ ਪ੍ਰਭਾਵਿਤ ਕਰਦੀ ਹੈ ਕਿ ਕੀ ਨਿਊਮੈਟਿਕ ਟ੍ਰਾਂਸਮਿਸ਼ਨ ਸਿਸਟਮ ਆਮ ਤੌਰ 'ਤੇ ਕੰਮ ਕਰ ਸਕਦਾ ਹੈ। ਇੱਕ ਆਮ ਹਵਾ ਸਰੋਤ ਉਪਕਰਣ ਵਿੱਚ ਆਮ ਤੌਰ 'ਤੇ ਹੇਠਾਂ ਦਿੱਤੇ ਹਿੱਸੇ ਹੁੰਦੇ ਹਨ: ਇੱਕ ਏਅਰ ਕੰਪ੍ਰੈਸ਼ਰ, ਹਵਾ ਨੂੰ ਸਟੋਰ ਕਰਨ ਅਤੇ ਸ਼ੁੱਧ ਕਰਨ ਲਈ ਉਪਕਰਣ ਅਤੇ ਉਪਕਰਣ, ਅਤੇ ਕੰਪਰੈੱਸਡ ਹਵਾ ਨੂੰ ਸੰਚਾਰਿਤ ਕਰਨ ਲਈ ਇੱਕ ਪਾਈਪਲਾਈਨ ਪ੍ਰਣਾਲੀ। ਏਅਰ ਸੋਰਸ ਡਿਵਾਈਸ ਦਾ ਮੁੱਖ ਉਪਕਰਣ ਏਅਰ ਕੰਪ੍ਰੈਸਰ ਹੈ। ਆਮ ਹਾਲਤਾਂ ਵਿੱਚ, ਇੱਕ ਏਅਰ ਕੰਪ੍ਰੈਸ਼ਰ ਅਤੇ ਕੁਝ ਸਹਾਇਕ ਵਾਯੂਮੈਟਿਕ ਕੰਪੋਨੈਂਟ ਇੱਕ ਪਾਵਰ ਏਅਰ ਸਰੋਤ ਬਣਾਉਣ ਲਈ ਇੱਕ ਏਅਰ ਪੰਪ ਬਣਾਉਂਦੇ ਹਨ।
ਇੱਕ ਏਅਰ ਕੰਪ੍ਰੈਸਰ ਇੱਕ ਅਜਿਹਾ ਉਪਕਰਣ ਹੈ ਜੋ ਕੰਪਰੈੱਸਡ ਹਵਾ ਪੈਦਾ ਕਰਦਾ ਹੈ ਅਤੇ ਪਹੁੰਚਾਉਂਦਾ ਹੈ। ਇਹ ਮਕੈਨੀਕਲ ਊਰਜਾ ਨੂੰ ਗੈਸ ਦੀ ਦਬਾਅ ਊਰਜਾ ਵਿੱਚ ਬਦਲਦਾ ਹੈ ਅਤੇ ਆਮ ਤੌਰ 'ਤੇ ਇੱਕ ਇਲੈਕਟ੍ਰਿਕ ਮੋਟਰ ਦੁਆਰਾ ਚਲਾਇਆ ਜਾਂਦਾ ਹੈ। ਉਹਨਾਂ ਦੇ ਵੱਖ-ਵੱਖ ਕਾਰਜਸ਼ੀਲ ਸਿਧਾਂਤਾਂ ਦੇ ਅਨੁਸਾਰ, ਉਹਨਾਂ ਨੂੰ ਦੋ ਕਿਸਮਾਂ ਵਿੱਚ ਸ਼੍ਰੇਣੀਬੱਧ ਕੀਤਾ ਜਾ ਸਕਦਾ ਹੈ: ਸਕਾਰਾਤਮਕ ਵਿਸਥਾਪਨ ਕਿਸਮ ਅਤੇ ਗਤੀਸ਼ੀਲ ਕਿਸਮ। ਆਮ ਤੌਰ 'ਤੇ, ਸਕਾਰਾਤਮਕ ਵਿਸਥਾਪਨ ਏਅਰ ਕੰਪ੍ਰੈਸ਼ਰ ਅਪਣਾਏ ਜਾਂਦੇ ਹਨ. ਸਕਾਰਾਤਮਕ ਵਿਸਥਾਪਨ ਏਅਰ ਕੰਪ੍ਰੈਸ਼ਰ ਸਮੇਂ-ਸਮੇਂ ਤੇ ਇਸਦੇ ਭਾਗਾਂ ਦੀ ਗਤੀ ਦੁਆਰਾ ਸਿਲੰਡਰ ਦੀ ਮਾਤਰਾ ਨੂੰ ਬਦਲ ਕੇ ਹਵਾ ਦੇ ਦਾਖਲੇ ਅਤੇ ਸੰਕੁਚਨ ਦੀ ਪ੍ਰਕਿਰਿਆ ਨੂੰ ਪੂਰਾ ਕਰਦਾ ਹੈ।
ਏਅਰ ਕੰਪ੍ਰੈਸ਼ਰ ਦੀ ਚੋਣ: ਏਅਰ ਕੰਪ੍ਰੈਸ਼ਰ ਦੀ ਚੋਣ ਦੋ ਮਾਪਦੰਡਾਂ 'ਤੇ ਅਧਾਰਤ ਹੋਣੀ ਚਾਹੀਦੀ ਹੈ, ਅਰਥਾਤ ਵਾਯੂਮੈਟਿਕ ਟ੍ਰਾਂਸਮਿਸ਼ਨ ਸਿਸਟਮ ਦੁਆਰਾ ਲੋੜੀਂਦੇ ਕੰਮ ਕਰਨ ਦੇ ਦਬਾਅ ਅਤੇ ਵਹਾਅ ਦੀ ਦਰ। ਇੱਕ ਆਮ ਵਾਯੂਮੈਟਿਕ ਸਿਸਟਮ ਦੁਆਰਾ ਲੋੜੀਂਦਾ ਕੰਮ ਕਰਨ ਦਾ ਦਬਾਅ 0.5 ਤੋਂ 0.8MPa ਹੈ। ਇਸ ਲਈ, 0.7 ਤੋਂ 1MPa ਦੇ ਰੇਟ ਕੀਤੇ ਐਗਜ਼ੌਸਟ ਪ੍ਰੈਸ਼ਰ ਦੇ ਨਾਲ ਇੱਕ ਘੱਟ-ਪ੍ਰੈਸ਼ਰ ਵਾਲਾ ਏਅਰ ਕੰਪ੍ਰੈਸ਼ਰ ਚੁਣਿਆ ਗਿਆ ਹੈ।
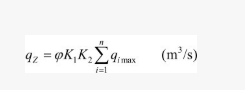
ਇੱਕ ਏਅਰ ਕੰਪ੍ਰੈਸਰ ਜਾਂ ਏਅਰ ਸਟੇਸ਼ਨ ਦੀ ਸਪਲਾਈ ਵਾਲੀਅਮ (ਮੁਫ਼ਤ ਪ੍ਰਵਾਹ) ਕਿਊਜ਼ਡ ਦਾ ਅੰਦਾਜ਼ਾ ਹੇਠਾਂ ਦਿੱਤੇ ਫਾਰਮੂਲੇ ਦੁਆਰਾ ਲਗਾਇਆ ਜਾ ਸਕਦਾ ਹੈ:

ਫਾਰਮੂਲੇ ਵਿੱਚ, ਕਿਮੈਕਸ ਸਿਸਟਮ ਦੇ ਅੰਦਰ ਵਾਂ ਹੈ; ਇਲਾਜ ਉਪਕਰਣਾਂ ਦੀ ਵੱਧ ਤੋਂ ਵੱਧ ਮੁਫਤ ਹਵਾ ਦੀ ਖਪਤ (m ³ /s); n ਸਿਸਟਮ ਵਿੱਚ ਵਰਤੇ ਗਏ ਨਿਊਮੈਟਿਕ ਯੰਤਰਾਂ ਦੀ ਕੁੱਲ ਸੰਖਿਆ ਹੈ; φ ਉਪਯੋਗਤਾ ਗੁਣਾਂਕ ਹੈ; K ਲੀਕੇਜ ਨੁਕਸਾਨ ਗੁਣਾਂਕ ਹੈ; K ਰਿਜ਼ਰਵ ਗੁਣਾਂਕ ਹੈ।
ਹਾਲਾਂਕਿ ਏਅਰ ਕੰਪ੍ਰੈਸਰ ਦੁਆਰਾ ਸੰਕੁਚਿਤ ਹਵਾ ਆਉਟਪੁੱਟ ਕੁਝ ਦਬਾਅ ਅਤੇ ਵਹਾਅ ਦੀਆਂ ਜ਼ਰੂਰਤਾਂ ਨੂੰ ਪੂਰਾ ਕਰ ਸਕਦੀ ਹੈ, ਪਰ ਇਸਦੀ ਵਰਤੋਂ ਸਿੱਧੇ ਤੌਰ 'ਤੇ ਨਿਊਮੈਟਿਕ ਡਿਵਾਈਸਾਂ ਦੁਆਰਾ ਨਹੀਂ ਕੀਤੀ ਜਾ ਸਕਦੀ। ਸੰਕੁਚਿਤ ਹਵਾ ਵਿੱਚ ਅਸ਼ੁੱਧੀਆਂ ਅਤੇ ਨਮੀ ਨੂੰ ਨਿਊਮੈਟਿਕ ਉਪਕਰਣਾਂ ਵਿੱਚ ਵਰਤਣ ਤੋਂ ਪਹਿਲਾਂ ਹਟਾ ਦੇਣਾ ਚਾਹੀਦਾ ਹੈ।
2. ਨਿਊਮੈਟਿਕ ਸਹਾਇਕ ਭਾਗ
ਸਹਾਇਕ ਹਿੱਸੇ, ਫਿਲਟਰ, ਆਇਲ ਮਿਸਟਰ, ਮਫਲਰ, ਪਾਈਪ ਅਤੇ ਪਾਈਪ ਫਿਟਿੰਗਸ, ਅਤੇ ਹੋਰ ਸਹਾਇਕ ਭਾਗ, ਨਿਊਮੈਟਿਕ ਟ੍ਰਾਂਸਮਿਸ਼ਨ ਸਿਸਟਮ ਦੇ ਆਮ ਕੰਮ ਨੂੰ ਯਕੀਨੀ ਬਣਾਉਣ ਲਈ ਲਾਜ਼ਮੀ ਹਿੱਸੇ ਹਨ।
ਫਿਲਟਰਾਂ ਦੀ ਵਰਤੋਂ ਸੰਕੁਚਿਤ ਹਵਾ ਤੋਂ ਤੇਲ, ਨਮੀ ਅਤੇ ਧੂੜ ਵਰਗੀਆਂ ਅਸ਼ੁੱਧੀਆਂ ਨੂੰ ਹਟਾਉਣ ਲਈ ਕੀਤੀ ਜਾਂਦੀ ਹੈ। ਇੱਕ ਤੇਲ ਧੁੰਦ ਲੁਬਰੀਕੇਟਰ ਇੱਕ ਵਿਸ਼ੇਸ਼ ਤੇਲ ਇੰਜੈਕਸ਼ਨ ਯੰਤਰ ਹੈ। ਇਹ ਲੁਬਰੀਕੇਟਿੰਗ ਤੇਲ ਨੂੰ ਐਟਮਾਈਜ਼ ਕਰ ਸਕਦਾ ਹੈ ਅਤੇ ਇਸ ਨੂੰ ਉਹਨਾਂ ਹਿੱਸਿਆਂ ਵਿੱਚ ਦਾਖਲ ਹੋਣ ਦਿੰਦਾ ਹੈ ਜਿਨ੍ਹਾਂ ਨੂੰ ਹਵਾ ਦੇ ਪ੍ਰਵਾਹ ਦੇ ਨਾਲ ਲੁਬਰੀਕੇਸ਼ਨ ਦੀ ਲੋੜ ਹੁੰਦੀ ਹੈ। ਉੱਥੇ, ਹਵਾ ਦਾ ਪ੍ਰਵਾਹ ਕੰਧ ਨਾਲ ਟਕਰਾਉਂਦਾ ਹੈ, ਜਿਸ ਨਾਲ ਲੁਬਰੀਕੇਟਿੰਗ ਤੇਲ ਕੰਪੋਨੈਂਟਸ ਨਾਲ ਜੁੜ ਜਾਂਦਾ ਹੈ ਅਤੇ ਲੁਬਰੀਕੇਸ਼ਨ ਦੇ ਉਦੇਸ਼ ਨੂੰ ਪ੍ਰਾਪਤ ਕਰਦਾ ਹੈ। ਨਿਊਮੈਟਿਕ ਸਿਸਟਮਾਂ ਵਿੱਚ, ਵਾਟਰ ਵੱਖਰਾ ਕਰਨ ਵਾਲਾ ਅਤੇ ਏਅਰ ਫਿਲਟਰ, ਦਬਾਅ ਘਟਾਉਣ ਵਾਲਾ ਵਾਲਵ, ਅਤੇ ਆਇਲ ਮਿਸਟ ਲੁਬਰੀਕੇਟਰ ਅਕਸਰ ਸੁਮੇਲ ਵਿੱਚ ਵਰਤੇ ਜਾਂਦੇ ਹਨ, ਜਿਸਨੂੰ ਨਿਊਮੈਟਿਕ ਥ੍ਰੀ-ਪੀਸ ਸੈੱਟ ਕਿਹਾ ਜਾਂਦਾ ਹੈ। ਇੰਸਟਾਲੇਸ਼ਨ ਕ੍ਰਮ ਚਿੱਤਰ ਵਿੱਚ ਦਿਖਾਇਆ ਗਿਆ ਹੈ।

ਨਿਊਮੈਟਿਕ ਤਿੰਨ- ਟੁਕੜਿਆਂ ਦੇ ਸੈੱਟਾਂ ਦਾ ਚਿੱਤਰ ਸਥਾਪਨਾ ਕ੍ਰਮ ਚਿੱਤਰ
ਇੱਕ ਮਫਲਰ ਇੱਕ ਅਜਿਹਾ ਯੰਤਰ ਹੈ ਜੋ ਸ਼ੋਰ ਨੂੰ ਘੱਟ ਕਰਨ ਦੇ ਉਦੇਸ਼ ਨਾਲ ਨਿਕਾਸ ਖੇਤਰ ਨੂੰ ਗਿੱਲਾ ਕਰਕੇ ਜਾਂ ਵਧਾ ਕੇ ਗੈਸ ਦੀ ਗਤੀ ਅਤੇ ਸ਼ਕਤੀ ਨੂੰ ਘਟਾਉਂਦਾ ਹੈ। ਆਮ ਤੌਰ 'ਤੇ ਵਰਤੇ ਜਾਣ ਵਾਲੇ ਮਫਲਰ ਵਿੱਚ ਸਮਾਈ ਕਿਸਮ, ਵਿਸਤਾਰ ਦਖਲਅੰਦਾਜ਼ੀ ਕਿਸਮ, ਅਤੇ ਵਿਸਤਾਰ ਦਖਲਅੰਦਾਜ਼ੀ ਸਮਾਈ ਕਿਸਮ ਸ਼ਾਮਲ ਹੁੰਦੀ ਹੈ।
ਏਅਰ ਸੋਰਸ ਟ੍ਰੀਟਮੈਂਟ ਕੰਪੋਨੈਂਟ ਨਿਊਮੈਟਿਕ ਕੰਟਰੋਲ ਸਿਸਟਮ ਦਾ ਇੱਕ ਬੁਨਿਆਦੀ ਹਿੱਸਾ ਹੈ। ਇਸਦਾ ਕੰਮ ਸੰਕੁਚਿਤ ਹਵਾ ਵਿੱਚ ਮੌਜੂਦ ਅਸ਼ੁੱਧੀਆਂ ਅਤੇ ਸੰਘਣਾ ਪਾਣੀ ਨੂੰ ਹਟਾਉਣਾ ਅਤੇ ਨਿਰੰਤਰ ਕੰਮ ਕਰਨ ਦੇ ਦਬਾਅ ਨੂੰ ਨਿਯਮਤ ਕਰਨਾ ਅਤੇ ਬਣਾਈ ਰੱਖਣਾ ਹੈ। ਜਦੋਂ ਵਰਤੋਂ ਵਿੱਚ ਹੋਵੇ, ਤਾਂ ਫਿਲਟਰ ਵਿੱਚ ਸੰਘਣੇ ਪਾਣੀ ਦੇ ਪਾਣੀ ਦੇ ਪੱਧਰ ਦੀ ਅਕਸਰ ਜਾਂਚ ਕਰਨੀ ਜ਼ਰੂਰੀ ਹੁੰਦੀ ਹੈ। ਇਸ ਤੋਂ ਪਹਿਲਾਂ ਕਿ ਇਹ ਅਧਿਕਤਮ ਨਿਸ਼ਾਨ ਤੋਂ ਵੱਧ ਜਾਵੇ, ਇਸ ਨੂੰ ਦੁਬਾਰਾ ਅੰਦਰ ਜਾਣ ਤੋਂ ਰੋਕਣ ਲਈ ਇਸ ਨੂੰ ਨਿਕਾਸ ਕੀਤਾ ਜਾਣਾ ਚਾਹੀਦਾ ਹੈ।
ਉੱਪਰ ਹਵਾ ਸਰੋਤ ਉਪਕਰਨ ਅਤੇ ਨਿਊਮੈਟਿਕ ਸਹਾਇਕ ਕੰਪੋਨੈਂਟ ਸਮੱਗਰੀ ਹੈ। ਹੋਰ ਸਬੰਧਤ ਜਾਣਕਾਰੀ ਜਾਣਨ ਲਈ, ਵੇਖੋhttps://www.joosungauto.com/.
